Marka Waterman, tak silnie kojarzona z Francją, ma swoje korzenie w Ameryce, a dokładniej w Nowym Jorku, gdzie w 1883 roku Lewis Edson Waterman założył manufakturę piór wiecznych. To on opatentował formę pióra wiecznego, jaką znamy do dzisiaj. Firma rozwijała się w błyskawicznym tempie. W 1926 roku część produkcji przeniesiono do Francji, a w 1967 roku już przeważającą jej część. Sam Lewis Edson Waterman umarł w 1901 roku na Brooklynie. Marka Waterman zyskała wielką renomę i stała się symbolem prestiżu i elegancji. Warto nadmienić, że jest również w posiadaniu marki Parker.
Butelka Watermana jest tak charakterystyczna, że nie idzie jej pomylić z żadną inną marką. Wykonana z grubego szkła posiada specyficzne skośne ścianki boczne, umożliwiające postawienie jej na boku, aby ułatwić zaczerpnięcie atramentu. W tym celu posiada również krótką i szeroką szyjkę, zakręcaną twardą plastikową nakrętką. Na przedniej ściance naklejono etykietę z nazwą marki i koloru, oraz pojemnością butelki (w przypadku Watermana jest to zawsze 50 ml).
Wymiary butelki to:
38 mm długości u podstawy
63 mm w najdłuższym miejscu
37 mm szerokości
65 mm wysokości
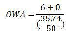
Ocena Wstępna Atramentu wygląda następująco:

Butelka jest zmyślna i elegancka. Jej kanciaste kształty przypominające plaster miodu wyróżniają ją z tłumu. Do tego posiada dodatkową funkcję, więc zasługuje na 6 punktów.
Tender Purple nie posiada mieniących się cząsteczek, zatem otrzymuje 0 punktów za shimmering.
Średnia cena atramentu wynosi 35,74 zł.
Mamy zatem:

Ocena Wstępna Atramentu to 8,39
Czas na testy terenowe. Do testu, jak zawsze, wykorzystuję papier Rhodia (80 g/m2) i pióro Jinhao x450.

Czas schnięcia atramentu to 25 sekund dla cienkiej kreski, ale już ponad 30 sekund dla grubej. Daję 0,25 punktu.

Przepływ atramentu oceniam jako bardzo dobry. Atrament zawarty jedynie w sekcji pióra wystarczył na napisanie 503 "kałamarzy". Otrzymuje za to 1,75 punktu.

Za butelkę o pojemności 50 ml przyznaję 0,75 punktu.
Kolor Tender Purple jest ciemnym fioletem. Posiada minimalną tendencję do cieniowania i niezaprzeczalną głębię. Czy mi się podoba? Nie. Dla mnie ten odcień fioletu jest za zimny. Ale mój aparat go lubi i nawet poprawnie odzwierciedla jego barwę. ;)

Czas na Ocenę Końcową Atramentu:

Po podłożeniu wartości pod wzór otrzymujemy:

Ocena Końcowa Atramentu Waterman Tender Purple wynosi 23,07
Atrament jest solidną pozycją w rozsądnej cenie. Jego właściwości plasują go wysoko i wygląda na to, że podtrzymuje renomę marki. Jedyne, co mnie zaniepokoiło, to delikatne strzępienie przy stawianiu grubszych linii. Nie przeszkadza to jednak w codziennym pisaniu, więc uznaję to za nieistotny aspekt w użytkowaniu. Jeżeli komuś podoba się ten kolor, to szczerze polecam. :)