Serii 4001 atramentów Pelikana nie trzeba chyba przedstawiać. Jest to nieśmiertelny klasyk, którego korzenie sięgają 1901 roku. Niezmienny od dekad kształt butelki zapewnia rozpoznawalność serii na całym świecie.
Buteleczka o pojemności 30 ml posiada klasyczny kształt, który nie wyróżnia się niczym szczególnym na tle konkurentów. W przeciwieństwie jednak do wielu z nich, spełnia dodatkową funkcję, gdyż można ją postawić na ukośnej ściance, aby ułatwić zaczerpnięcie atramentu. Na froncie posiada jasnoszarą etykietę z nazwą marki, kolorem i pojemnością.
Wymiary butelki to:
43 mm długości u podstawy
57 mm w najdłuższym miejscu
35 mm szerokości
56 mm wysokości wraz z zakrętką
Nakrętka jest wykonana z twardego lecz uginającego się plastiku i wykonuje swoje zadanie poprawnie.
Średnia cena atramentu wynosi 15,10 zł.
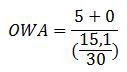
Ocena Wstępna Atramentu to:

Butelka jest klasyczna ale wielofunkcyjna, więc przyznaję jej 5 punktów za design.
Atrament nie posiada mieniących się cząsteczek, więc otrzymuje za to 0 punktów.
Mamy więc:

Ocena Wstępna Atramentu wynosi 10
Przechodzimy teraz do testów praktycznych (papier Rhodia 80 g/m2) za pomocą pióra Jinhao x450.

Czas schnięcia atramentu to ponad 30 sekund zarówno dla cienkiej jak i grubej kreski. Przyznaję więc 0 punktów.

Jego przepływ oceniłbym jako bardzo dobry, chociaż atrament zawarty jedynie w sekcji pióra wystarczył na napisanie 334 "kałamarzy". Przyznaję za to 0,5 punktu.

Za pojemność buteleczki, wynoszącą 30 ml, daję 0,5 punktu.
Kolor atramentu to taka neonowa czerwień delikatnie wpadająca w pomarańcz. Próżno szukać tutaj cieniowania czy większej głębi. Atrament wygląda jakby został stworzony z myślą o nauczycielach, do poprawiania błędów i wstawiania jedynek w dzienniku. ;) Mnie ten kolor nie porwał, ale gdybym miał do wyboru czerwień Pelikana albo Lamy, wybrałbym, tą pierwszą.

Możemy przejść do Oceny Końcowej Atramentu, która wygląda tak:

Podkładamy punktację we wzorze i otrzymujemy:

Ocena Końcowa Atramentu wynosi 10
Czerwony atrament Pelikana to specyficzna pozycja. Wydaje mi się, że został stworzony z myślą o poprawianiu błędów i korekcie, więc ścianę tekstu trudno byłoby nim zapisać (uderza po oczach). Niemniej uważam go za udany produkt. Wydajność stoi na akceptowalnym poziomie, cena jest przystępna i atrament zachowuje się wzorowo. Polecam diabolicznym nauczycielom, którzy lubią pastwić się pisemnie nad leniwymi uczniami. ;)
Tym sposobem zamknąłem testowanie całej serii 4001 atramentów Pelikana. Kto wie, może w przyszłości dołożą jeszcze jakiś kolor, który z przyjemnością wypróbuję.