Firmę Faber-Castell założył w 1761 roku Kaspar Faber. Jako stolarz rozpoczął produkcję drewnianych ołówków. Zyskały one popularność, jednak do znaczącego rozwoju spółki doszło dopiero w 1839 roku, kiedy to baron Lothar von Faber poprowadził firmę. Nie tylko wymyślił sześciokątny ołówek, tak dobrze dzisiaj znany, ale zaczął też w 1840 roku sygnować produkty imieniem zakładu. Były to pierwsze markowe przybory do pisania na świecie. W 1898 roku wnuczka Lothara von Fabera wyszła za hrabiego Aleksandra z Castell-Rüdenhausen. Tak powstał nowy ród hrabiowski Faber-Castell, od którego pochodzi współczesna nazwa marki. Obecnie firma Faber-Castell słynie z produkcji przyborów do pisania, rysowania i projektowania.
Buteleczka o pojemności 30 ml ma dobrze nam znany z atramentów Pelikana klasyczny kształt. Posiada krótką szeroką szyjkę, wykonaną z grubego plastiku nakrętkę i etykietę na froncie, na której znajdziemy podstawowe informacje o marce produktu, pojemności i kolorze.
Wymiary butelki to:
42 mm długości u podstawy
57 mm w najdłuższym miejscu
36 mm szerokości
58 mm wysokości wraz z nakrętką
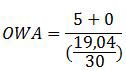
Średnia cena atramentu to 19,04 zł
Ocena Wstępna Atramentu wygląda następująco:

Butelka jest klasyczna ale wielofunkcyjna, więc przyznaję jej 5 punktów za design.
Faber-Castell Black nie posiada mieniących się cząsteczek, więc w tej kategorii otrzymuje 0 punktów.
Mamy zatem:

Ocena Wstępna Atramentu wynosi 7,93
Możemy przejść teraz do testów praktycznych (papier Rhodia 80 g/m2) za pomocą pióra Jinhao x450.

Czas schnięcia atramentu to ponad 30 sekund. Za to mogę przyznać nie więcej jak 0 punktów.

Przepływ atramentu oceniam jako bardzo dobry. Atrament zawarty jedynie w sekcji pióra wystarczył na napisanie 456 "kałamarzy". Przyznaję za to 1,5 punktu.

Za 30 ml pojemności buteleczki przyznaję 0,5 punktu.
Faber-Castell Black jest faktycznie czarny. Posiada tendencję do cieniowania, kiedy wychodzi z niego kolor szary ale zdecydowanie więcej jest w nim głębokiej czerni.

Możemy przejść do Oceny Końcowej Atramentu, która wygląda tak:

Podkładamy punktację pod wzór i otrzymujemy:

Ocena Końcowa Atramentu wynosi 15,86
Czarny atrament Faber-Castell jest solidną produkcją. Gdyby firmie udało się skrócić czas schnięcia, kto wie, może byłby produkcją wybitną. Póki co zasługuje na uznanie każdego użytkownika i tworzy realną konkurencję dla atramentu Pelikana. Polecam każdemu, kto wymaga od swojego czarnego atramentu jakości i wydajności.