Diamine jest brytyjską firmą, która produkuje atramenty już od 1864 roku. W 1925 roku mieściła się w Liverpoolu w specjalnie zbudowanej do tego celu fabryce. Od prawie 200 lat firma specjalizuje się w wytwarzaniu tuszy i atramentów, co gwarantuje najwyższą jakość ich produktów. Diamine uczestniczy również w tworzeniu historii. To właśnie tej marki atramentem prezydenci Obama i Miedwiediew podpisali traktat o broni nuklearnej w 2010 roku.
Diamine Blue Peppermint jest atramentem z serii świątecznej Inkvent. Jego buteleczka nie przypomina niczego, co miałem dotąd w rękach. Wykonana z grubego szkła, o pojemności 50 ml, przypomina swoim kształtem sześcian na czterech nogach, z wklęsłymi ścianami. Z wyjątkiem ścianki frontowej. Tam na wyznaczonej do tego okrągłej powierzchni, znajduje się naklejona skromna etykieta z nazwą firmy, kolorem i pojemnością. Buteleczka posiada krótką szeroką szyjkę oraz aluminiową zakrętkę w srebrnym kolorze.
Wymiary buteleczki to:
56 mm długości
56 mm szerokości
79 mm wysokości (wraz z zakrętką)
Atrament udało mi się znaleźć tylko w jednym sklepie internetowym, a jego cena wynosi 63 zł.
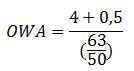
Ocena Wstępna Atramentu to:

Butelka jest po prostu oszałamiająca. Design i jakość wykonania sprawiły, że dotąd nie mogę się otrząsnąć. Nie posiada niestety żadnych dodatkowych funkcji, ale i tak zasługuje na solidne 4 punkty.
Atrament posiada mieniące się cząsteczki, które dodają mu atrakcyjności. Za to 0,5 punktu.
Mamy więc:

Ocena Wstępna Atramentu wynosi 3,57
Możemy przejść teraz do testów praktycznych (papier Rhodia 80 g/m2) za pomocą pióra Jinhao x450.

Czas schnięcia atramentu to, co prawda 30 sekund dla cienkiej kreski, ale ponad 30 sekund dla grubej. Za to należy się 0 punktów.

Przepływ atramentu oceniam jako dobry. Atrament zawarty jedynie w sekcji pióra wystarczył na napisanie 328 "kałamarzy". Za to przyznaję mu 0,5 punktu.

Natomiast za 50 ml pojemności butelki należy się równe 0,75 punktu.
Kolor Blue Peppermint jest jasnym niebieskim wpadającym wyraźnie w zieleń. Posiada głębię i tendencję do cieniowania.

Po potrząśnięciu buteleczką wzbudzimy niebieskie drobinki osiadłe na dnie, które elegancko przyozdobią nam stawiane piórem słowa.

Możemy przejść do Oceny Końcowej Atramentu, która wygląda tak:

Podkładamy punktację pod wzór i otrzymujemy:

Ocena Końcowa Atramentu wynosi 4,46
Atrament Blue Peppermint od Diamine wyróżnia się przede wszystkim buteleczką, która w mojej ocenie jest przepiękna. Jeśli chodzi o sam atrament, to spodziewałem się po nim lepszej wydajności. Jak na świąteczną edycję jest dla mnie trochę za mało "świąteczny". ;) Kolor jednak przypadł mi do gustu. Jest bardziej turkusowy niż większość turkusowych atramentów i to mi się podoba. Podsumowując - nie żałuję wydanych pieniędzy. :)
Warto wspomnieć, że cała seria Inkvent jest zainspirowana kalendarzem adwentowym, który Diaminie stworzył w wersji atramentowej. Na każdy dzień inny kolor.